edición general
213 meneos
893 clics

Aerolíneas Argentinas suspende todos sus vuelos internacionales

Aerolíneas Argentinas suspende vuelos Las autoridades del país culpan de las cancelaciones a una huelga encubierta del sindicato del personal técnico.
121 92 0 K 486 mnm
121 92 0 K 486 mnm
366 meneos
16168 clics

Miles de rayas en el océano  

Una imagen impresionante de miles de rayas en el océano.
187 179 1 K 499 mnm
187 179 1 K 499 mnm
579 meneos
30425 clics
¿Por qué está construyendo China estas estructuras gigantescas en medio del desierto?

¿Por qué está construyendo China estas estructuras gigantescas en medio del desierto?  

Fotos obtenidas a través de Google Maps muestran varias estructuras de proporciones titánicas (visibles desde el espacio) construidas en mitad del desierto en China sin función aparente. ¿Experimentos militares? ¿Proyectos científicos? ¿Bromas pesadas del gobierno chino? Nadie lo sabe. Artículo en inglés.
260 319 4 K 513 mnm
260 319 4 K 513 mnm
1255 meneos
18370 clics
Ryanair me estafa

Ryanair me estafa

Vole con Ryanair unas 14 veces aun a pesar de su mala fama (bien merecida), y nunca tuve ningun problema grave mas allá de malas formas por parte de sus empleados y algún que otro retraso. Pero… Una cosa es que sus empleados suelan ser unos verdaderos desagradables, y otra que te coaccionen, estafen y te roben en tu cara.
454 801 4 K 508 mnm
454 801 4 K 508 mnm
376 meneos
11767 clics
Calatrava y los parecidos razonables en algo más que los diseños

Calatrava y los parecidos razonables en algo más que los diseños

Artículo en el que se compara el proyecto fallido de la estación del Ave de Huelva de Calatrava con la construcción de las 4 torres de Valencia. Y de cómo este "señor" tiene la costumbre de autocopiarse en todos los sentidos y no solo el estético
188 188 0 K 496 mnm
188 188 0 K 496 mnm
726 meneos
3154 clics

El ‘Inside Job’ europeo: la conexión Monti-Papademos-Draghi

Lucas Papademos es desde el viernes el primer ministro griego (...) Es economista y fue vicepresidente del BCE entre 2002 y 2008 a las órdenes de Jean-Claude Trichet (...) Mario Monti es el economista que sustituirá a Berlusconi (...) Goldman Sachs lo fichó como asesor en 2005 (...) Este banco de inversión diseñó el plan de ingeniería financiera que permitió a Grecia entrar en el euro en 2002 camuflando sus cuentas (...) ¿Y saben quién era uno de los responsables de Goldman Sachs por entonces? El recién nombrado presidente del BCE, Mario Draghi
286 440 2 K 500 mnm
286 440 2 K 500 mnm
336 meneos
1115 clics
Por primera vez inyectan sangre cultivada en laboratorio a un humano

Por primera vez inyectan sangre cultivada en laboratorio a un humano

Luc Douay (de la Universidad Pierre y Marie Curie, en París) extrajo hemocitoblastos de la médula ósea de un voluntario y las hizo desarrollarse en glóbulos rojos a través de una serie de factores de crecimiento. El equipo liderado por Douay etiquetó las células cultivadas para seguir su rastro e inyectó 10.000 millones de ellas (equivalentes a 2 mililitros de sangre) de vuelta al torrente del donante de médula. Los resultados fueron publicados en el periódico médico Blood.
158 178 0 K 500 mnm
158 178 0 K 500 mnm
586 meneos
3798 clics
Telecinco paga la factura del corazón

Telecinco paga la factura del corazón

Telecinco está pagando caro el precio del 'circo de carpa rosa' en el que se ha convertido. Los ya desaparecidos 'Aquí hay tomate', 'A tu lado' y 'Salsa rosa' están más vivos que nunca en los juzgados. La cadena de Vasile acumula en 2011 más de dos millones de euros en indemnizaciones a famosos, la mitad en los últimos dos meses.
220 366 6 K 467 mnm
220 366 6 K 467 mnm
700 meneos
2294 clics

Los precios de los libros en España están fijados gracias a un Real Decreto

El precio de los libros está fijado por las editoriales y por ley no se puede bajar mas de un 5%, dando lugar a un monopolio de facto donde las editoriales ponen el precio que les da la gana y no hay competencia posible. Después vemos cosas como esta cuando buscamos fuera de nuestras fronteras: Libro “La caida de los gigantes” de Ken Follet. Tienda de Suecia. – Precio de la edición en español hecha en USA 16 € – Precio de la edición en español hecha en España 27 €
280 420 3 K 530 mnm
280 420 3 K 530 mnm
523 meneos
18301 clics
Una joven egipcia publica una fotografía desnuda "para defender la libertad"

Una joven egipcia publica una fotografía desnuda "para defender la libertad"

Aliaa es una joven egipcia que ha causado un enorme revuelo en su país al publicar una fotografía en cueros "para defender la libertad". Según reza su propia cuenta de Twitter, Aliaa es una joven egipcia que se autodefine como "secular, liberal, feminista, vegetariana e independentista de Egipto".
243 280 5 K 555 mnm
243 280 5 K 555 mnm
706 meneos
17225 clics

Porno en La Siete un domingo por la tarde

Anonadada me hallo. 19:56 de la tarde. La Siete, ese canal que es como un Telecinco 2, emite la repetición del programa Resistiré, ¿vale? Pues bien, cuál no sería mi sorpresa cuando de repente la exconcursante de Acorralados Sonia Baby se levanta, se quita la parte de arriba, coge una bombilla y… ¿sabéis lo que hace con ella? Pues sí, lo habéis adivinado: se la introduce por la vagina [¡y la enciende!]. Que si no fuera yo tan fina y educada diría “se la mete por el co..”
285 421 17 K 587 mnm
285 421 17 K 587 mnm
535 meneos
3903 clics
El gobierno chino pincha su burbuja inmobiliaria

El gobierno chino pincha su burbuja inmobiliaria

Cientos de agencias inmobiliarias chinas se han visto obligadas a echar el cierre en el último año. Las restricciones impuestas por el Gobierno para frenar la burbuja inmobiliaria han enfriado la demanda de viviendas y desplomado las ventas. Cerca de un millar de agencias han cerrado desde que comenzó el año.
228 307 0 K 511 mnm
228 307 0 K 511 mnm
416 meneos
1241 clics
Universitat de Girona abraza la brujería: Curso de armonía del Hábitat

Universitat de Girona abraza la brujería: Curso de armonía del Hábitat

Como estudiante de la Universitat de Girona sabía que pocos cursos pseudocientíficos se les habían colado. Pero en este caso, se les ha pasado algo por alto. Se trata del "Posgrado en Salud y armonía del Hábitat". Se trata de un curso de 120 horas, en Catalán o Castellano, con un valor de 11 créditos y con un precio -agarraos los machos- de 1175€. El ser humano se encuentra cada vez más, envuelto de radiaciones y fenómenos de origen electromagnético, i esta realidad ha llevado a definir el síndrome de edificio enfermo...
184 232 3 K 498 mnm
184 232 3 K 498 mnm
517 meneos
1827 clics
Luis Alfonso Gámez: "La medicina científica no lo cura todo, pero la alternativa no cura nada"

Luis Alfonso Gámez: "La medicina científica no lo cura todo, pero la alternativa no cura nada"

¿Qué tienen en común Peter Sellers, el rinoceronte de Java y Steve Jobs? Según Luis Alfonso Gámez todos ellos han desaparecido por culpa del "peligro de creer". Gámez ha recordado que P. Sellers murió por una afección cardiaca ya que decidió acudir a un médico psíquico filipino en lugar de un cirujano. Una situación parecida se daba con Steve Jobs, que retrasó la operación de su cáncer de páncreas por tratarse con medicinas alternativas. "Es verdad que la medicina científica no lo cura todo, pero la medicina alternativa no cura nada", añadía.
247 270 5 K 510 mnm
247 270 5 K 510 mnm
326 meneos
18137 clics
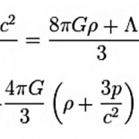
10 ecuaciones que al menos deberíamos fingir que sabemos

10 ecuaciones que al menos deberíamos fingir que sabemos

[c&p] La forma de tratar la complejidad e incertidumbre del mundo y de ordenar las cantidades, con un puñado de caracteres que bastan para captar el mismo universo. El equipo de Wired Science ha reunido diez de las ecuaciones que representan los diversos ámbitos del conocimiento, en realidad eran nueve, la última ha sido a petición del público.
177 149 9 K 486 mnm
177 149 9 K 486 mnm
1246 meneos
1590 clics
Las empresas ahorran casi 70.000 empleos con las horas extras que no pagan a sus trabajadores

Las empresas ahorran casi 70.000 empleos con las horas extras que no pagan a sus trabajadores

Los asalariados españoles realizan un total de 5,2 millones de horas extra a la semana, de las que las empresas sólo pagan cerca de la mitad, según datos del Instituto Nacional de Estadística (INE). En concreto, cada semana los trabajadores realizan 2.363.400 horas extraordinarias por las que no son remunerados por sus empresas, lo que supone un total de 67.526 jornadas laborales completas de 35 horas semanales.
412 834 0 K 474 mnm
412 834 0 K 474 mnm
814 meneos
1410 clics

Técnicos admiten que es difícil argumentar la muerte del toro ante la Unesco

La coordinadora del comité técnico español para la declaración de la fiesta de los toros como "patrimonio cultural inmaterial" de la humanidad por la Unesco, Beatriz Badorrey, ha advertido que será "difícil" lograr este reconocimiento porque "va a costar mucho" argumentar la muerte del toro. En la Unesco "no les gusta la muerte y no conciben cómo en un arte puede estar la muerte del animal por medio", ha añadido.
338 476 1 K 496 mnm
338 476 1 K 496 mnm
838 meneos
15664 clics
¿Que pasaría si los paises de la EU cancelaran la deuda entre ellos?

¿Que pasaría si los paises de la EU cancelaran la deuda entre ellos?

Según esta simulación llevada a cabo por una escuela de negocios se puede reducir la deuda europea en un 64% en total. En el caso concreto de España la reducción sería de un 50%.
341 497 7 K 552 mnm
341 497 7 K 552 mnm
286 meneos
11515 clics
Un pilar solar sobre Ontario

Un pilar solar sobre Ontario  

No, no se trata de una nave de combate extraterrestre que pretende exterminar la raza humana, sino de un pilar o columna solar. Mientras circulaba por el estado canadiense de Ontario, Rick Stankiewicz se vio sorprendido por esta escena a la vez tan hermosa como sobrecogedora y no dudó en tomar su cámara fotográfica. Cuando el aire atmosférico es frío a veces se forman cristales de hielo hexagonales que caen como hojas secas de las nubes situadas a gran altura. La resistencia del aire los mantiene casi totalmente horizontales... Vía @equisdx
149 137 0 K 586 mnm
149 137 0 K 586 mnm
773 meneos
13646 clics

Dwolla: El emprendimiento de un joven de 28 años que quiere matar por completo a las tarjetas de crédito

[c&p] Pasaron 11 meses y Dwolla nuevamente es noticia, no porque haya incorporado algún tipo de mejora a su servicio sino porque sus usuarios alcanzaron récords de transferencias de entre 30 y 50 millones de dólares al mes, lo que encendió las alarmas en algunos de sus competidores más directos. Con apenas una comisión de 0,25 centavos de dólar por operación concretada y un promedio de 500 dólares de movimiento por usuario, Dwolla tiene entre ceja y ceja derrotar al maquiavélico sistema de tarjetas de crédito ...
313 460 0 K 537 mnm
313 460 0 K 537 mnm
267 meneos
7432 clics

Análisis del voto coyuntural (no por afinidad) sobre las próximas elecciones

A continuación tenéis un análisis del voto coyuntural, el voto que no coincide con el partido por el que se siente más simpatía/afinidad. ¿Qué trasvases de votos se prevén? ¿Cómo de importante será el voto estratégico? ¿y el de los indecisos? Para indagar esas cuestiones he usado datos del último CIS; y en concreto dos preguntas sobre simpatía hacia partidos y decisión de voto.
158 109 0 K 498 mnm
158 109 0 K 498 mnm
685 meneos
2967 clics
Una empresa farmacéutica intenta sobornar a los médicos de un centro de salud

Una empresa farmacéutica intenta sobornar a los médicos de un centro de salud

Hace varias semanas los delegados de una presentación de amlodipino sublingual y otra de enalapril sublingual le hicieron una oferta a la directora de nuestro centro de salud: “Si llegamos a un acuerdo, el 5% de lo recabado en oficinas de farmacia por la venta de nuestros productos os lo devolveremos a cuenta del centro de salud“. Pasadas un par de semanas, la directora nos trasladó la oferta al equipo. Y en bloque decidimos refutarla.
225 460 1 K 469 mnm
225 460 1 K 469 mnm
1861 meneos
32103 clics
¿Hay hambre en España? El experimento del bocata en el bar

¿Hay hambre en España? El experimento del bocata en el bar

Quiero hablar de un experimento que hicimos hace ya unos cuantos años, y que desafío a que cualquiera repita hoy. Os desafío porque estamos todos demasiado convencidos de que nuestra sociedad es egoísta e insolidaria, cuando España sigue siendo un país lleno de buena gente. Hasta los topes.
835 1026 8 K 488 mnm
835 1026 8 K 488 mnm
447 meneos
16622 clics
Viñeta de Vergara: Esto es así

Viñeta de Vergara: Esto es así  

Viñeta sobre los recortes y cómo van a "arreglar" el problema los candidatos de los partidos mayoritarios
244 203 6 K 539 mnm
244 203 6 K 539 mnm
740 meneos
10193 clics
Ya no tengo dinero ni para comer

Ya no tengo dinero ni para comer

Joven, parada, titulada y sin ningún tipo de subsidio ni ayuda pública. El perfil de Eulalia Suárez, de 21 años de edad (cumplirá los 22 el próximo mes de diciembre) y madre soltera. Es Auxiliar de Clínica, sólo ha trabajado dos meses y cobró subsidio por 25 días: ya no tiene nada. Ha tratado de presentarse a la última oferta del Ayuntamiento de Mérida, dentro del Programa de Empleo de Experiencia. Pero le han explicado que tienen preferencia las personas que no hayan tenido vida laboral. De modo que por haber trabajado dos meses...
285 455 5 K 518 mnm
285 455 5 K 518 mnm

menéame